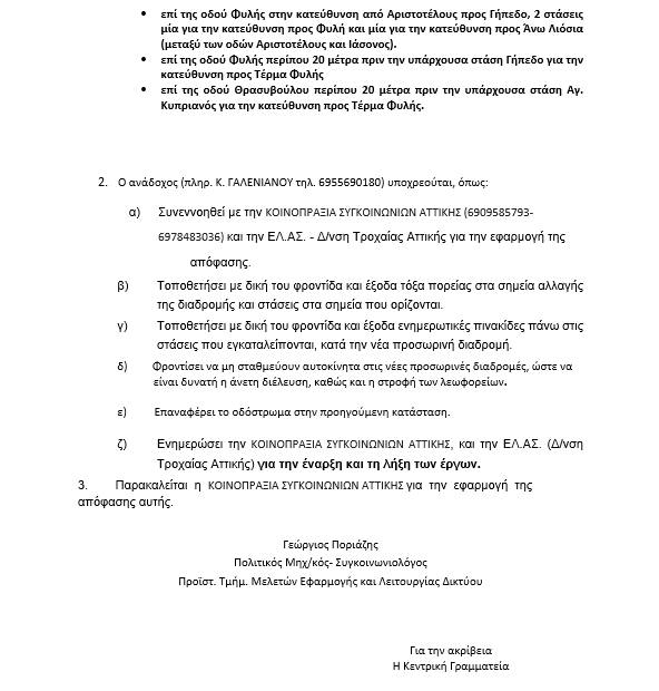
ΚΑΘΗΜΕΡΙΝΟΤΗΤΑ Προσωρινή τροποποίηση της διαδρομής της λεωφορειακής γραμμής 723 λόγω εργασιών στον Δήμο Φυλής Ημερομηνία: 23 Απριλίου 2026 Κοινοποιήση: FacebookPinterestWhatsApp 9156 – 2026 – ΠΡΟΣΩΡΙΝΗ 8882 ΤΡΟΠΟΠΟΙΗΣΗ ΦΥΛΗ (1)Λήψη Προηγούμενο άρθροΔήμος Φυλής – Ξεκινά την 1η Μαΐου ο καθαρισμός οικοπέδων και ακάλυπτων χώρων και είναι υποχρεωτικός για τους ιδιοκτήτεςΕπόμενο άρθροΕνισχύεται σημαντικά με ειδικότητες Γιατρών το Τοπικό Ιατρείο Άνω Λιοσίων – Στόχος η μετατροπή του σε Πολυδύναμο Περιφερειακό Ιατρείο Μόνο ηλεκτρονικά οι εγγραφές και επανεγγραφές στους Παιδικούς-Βρεφονηπιακούς Σταθμούς από 11 Μαΐου έως 5 Ιουνίου 8 Μαΐου 2026 Στην Β΄ Φάση του Προγράμματος Ανακαίνισης Σχολικών Κτιρίων «Μαριέττα Γιαννάκου» τέσσερα σχολεία του Δήμου Φυλής ΑΥΤΟΔΙΟΙΚΗΣΗ Κυκλοφορεί το βιβλίο «Μουντιάλ εμπιστευτικό»! – Η κορυφαία διοργάνωση πίσω από την κουρτίνα με σπάνιες ιστορίες ΑΘΛΗΤΙΣΜΟΣ Εξαρθρώθηκε κύκλωμα τηλεφωνικών απατών στη Δυτική Αττική – Πάνω από 3 εκατ. ευρώ η λεία (video) ΕΓΚΛΗΜΑΤΙΚΟΤΗΤΑ Κυκλοφοριακές ρυθμίσεις το Σάββατο στον Δήμο Φυλής λόγω του ποδηλατικού γύρου – Ποιοι δρόμοι θα είναι κλειστοί ΑΘΛΗΤΙΣΜΟΣ Αγώνας δρόμου “Family Laser Run” για παιδιά και γονείς στον Δήμο Φυλής την Κυριακή 17 Μαΐου ΠΟΛΙΤΙΣΜΟΣ παρομοια αρθρα ΚΑΘΗΜΕΡΙΝΟΤΗΤΑ Οδηγίες σχετικά με την εμφάνιση Λύκων και Αγριογούρουνων εξέδωσε το Δασαρχείο Πάρνηθας Μέσα στις οδηγίες περιλαμβάνεται η έκκληση για την αποφυγή χορήγησης τροφής και γενικότερα έκθεσης στο περιβάλλον υπολειμμάτων τροφής... ΚΑΘΗΜΕΡΙΝΟΤΗΤΑ Νέες τηλεφωνικές γραμμές στο ΚΕΠ Άνω Λιοσίων Ενημερώνουμε τους συνδημότες μας ότι οι τηλεφωνικές γραμμές στο ΚΕΠ Άνω Λιοσίων (μέσω σύζευξης) άλλαξαν. Τα νέα τηλεφωνικά νούμερα... ΚΑΘΗΜΕΡΙΝΟΤΗΤΑ Ο Απόλυτος Οδηγός Ψηφιακής Ασφάλειας – Πώς να Χτίσετε ένα Απόρθητο Ψηφιακό Φρούριο Στη σημερινή εποχή, τα ψηφιακά μας δεδομένα είναι η ζωή μας. Από τραπεζικούς λογαριασμούς μέχρι προσωπικές φωτογραφίες, η... ΚΑΘΗΜΕΡΙΝΟΤΗΤΑ Δήμος Φυλής – Ξεκινά την 1η Μαΐου ο καθαρισμός οικοπέδων και ακάλυπτων χώρων και είναι υποχρεωτικός για τους ιδιοκτήτες Ο Δήμος Φυλής υπενθυμίζει στους ιδιοκτήτες, επικαρπωτές, μισθωτές ή υπομισθωτές οικοπέδων και ακάλυπτων χώρων την εκ του νόμου...